Проглотит ли Порошенко российский бизнес Новинского и Хомутынника (документы)

Проглотит ли Порошенко российский бизнес Новинского и Хомутынника (документы)
Два авторитетных «регионала» пытаются перезапустить оператора государственного лотерей «Патриот», отстраненного от бизнеса прошлогодним указом Президента о введении санкций против российских бизнесов в Украине.
Не успел затихнуть резонанс от новости о покупке экс-банкиром и экс-депутатом Александром Морозовым компании, контролирующей оператора государственных лотерей "Патриот", как всплыла новая информация о людях, реально контролирующих этот бизнес, остановленный прошлогодним указом Президента о введении санкций против российских компаний в Украине. Как оказалось, у работодателя Александра Морозова – Вадима Новинского, есть влиятельный партнер – Виталий Хомутынник. Обнаружить это «СП Хомутынник-Новинский» было не так-то просто: упомянутая материнская компания «Патриота» находится в офшоре. Но все же шила в мешке утаить не удалось.
Крепкая дружба между заслуженными «регионалами» - нардепами Новинским (фракция Оппоблок, один из ключевых спонсоров этой политсилы) и Хомутынником (группа «Відродження», глава группы) ни для кого не секрет.
Им сейчас не так просто живется – то им обоим припомнят голосование по «законам 16 января», то пройдут слухи о том, что по Новинскому за его мордобой с православным священником Генпрокуратура отправляет представление в Раду о снятии неприкосновенности. То Хомутынника обвинят в том, что он чуть ли не поверх Насирова таможнями рулит. То Новинского ущучат на странной любви к подрядам на ремонт военных корабликов.
Но, несмотря на непростоту бытия, и Хомутынник, и Новинский верны старому. Вот, к примеру, они в начале сентября брифинг в Раде учинили – вместе с друзьями-регионалами (а они бывшими не бывают) призывали срочно восстанавливать экономические связи со страной-агрессором. Как говорят знающие люди, это они "дергали тигра за усы", пробовали на прочность нервы Президента в то самое время, когда готовился новый санкционный список российских персон и бизнесов - взамен того списка, чей срок действия истекает 16 сентября 2016 года.
А тут вот еще оказалось, что у Новинского с Хомутынником еще и совместный бизнес имеется - оператор государственных лотерей "Патриот". Как выяснилось, тесть Хомутынника - Виктор Сопельник сидит на зарплате в фирме МСЛ, которая входит в структуру «Патриота» и, собственно, проводит лотереи. И присутствие Сопельника в ведомостях на зарплату вряд ли можно назвать «парковкой» трудовой книжки. Не тот человек Виктор Иванович, чтобы отсиживаться в ранге приживала на зарплате в неполные 5 тыс грн. Бери выше: Сопельник – фигура хотя и не самостоятельная, но довольно весомая. Очень похоже, что исполняет в МСЛ функции присматривающего за бизнесом со стороны одного из бенефициаров.
Аргументы в пользу двойного-тройного дна хомутынниковского тестя? А пожалуйста: в 2012 году Сопельник участвовал в выборах по мажоритарному округу в Краматорске. Где с блеском проиграл Юрию Боярскому – видному регионалу. Но Сопельник вряд ли жалеет о проигрыше: он был чем-то средним между техническим кандидатом и страховочной фигурой. И, что интересно, баллотировался там он в роли кандидата от «Удара» - оттягивал на себя часть голосов избирателей, недовольных регионалами. Но дробление противников регионалов среди полдесятка кандидатов вроде Сопельника не оставляло шансов реальной оппозиции «хозяевам Донбасса».
Сопельник занимался чуть выше среднего масштаба бизнесом – строительство, торговля на АЗС, еще по мелочи. Очень не брезговал «схемами». Например, на него и его дочь Екатерину регистрировались фейковые «патенты» на изобретения, полезные образцы и прочую интеллектуальную собственность. Что впоследствии представителями семейства Сопельников позволяло обходить налоги при помощи так называемой «схемы роялти». Еще недавно это была одна из самых популярных схем обналичивания.
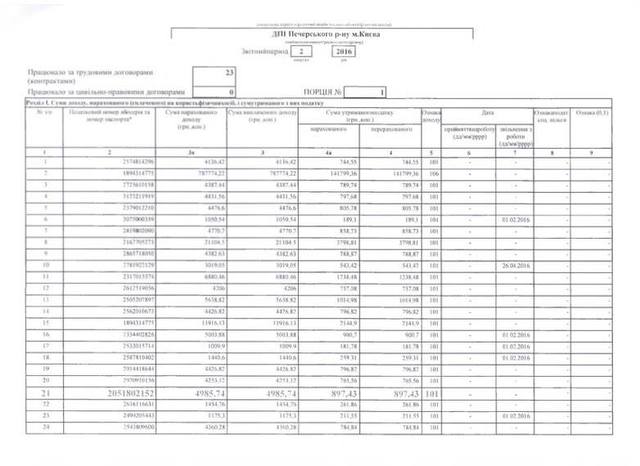
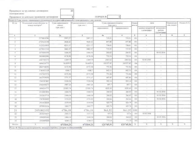
Кстати, следы одной из схем обналичивания обнаружились в той зарплатной ведомости, что свидетельствует о работе Сопельника в структуре «Патриота». В той ведомости на всех сотрудников расписаны довольно скромные зарплаты в 3-5 тысяч, иногда чуть больше. Но на одного то почти 800 тыс в один месяц, то почти 600 тыс – в другой. Во всех случаях на одного персонажа (не на Сопельника, правда, на нем вполне скромные суммы) приходилось около 85% всего фонда зарплаты фирмы. Эта схема обналичивания хорошо известна налоговикам. Она позволяет практически полностью уйти от уплаты ЕСВ(единый соцвзнос, из которого финансируется вечно дефицитный Пенсионный фонд).
В общем, в окружении Хомутынника не принято платить налоги – хоть сам Виталий много лет утруждался на ниве совершенствования Налогового кодекса, будучи главой налогового комитета ВР по квоте Партии Регионов, конечно же.
Вообще создается впечатление, что Хомутынник и Новинский чуток призабыли, что в пятницу, 16 сентября исполняется ровно год с того дня, как был подписан Указ Президента, которым были введены санкции против российских компаний в Украине. В том числе, тем Указом была приостановлена деятельность «Патриота». А может, они не призабыли, а просто пробуют взять «на слабо» команду Президента? Рассчитывают отбиться от Указа о санкциях решениями какого-нибудь «самого справедливого суда»?
Вряд ли эти надежды имеют под собой почву. 16 или 17 сентября новый указ о санкциях наверняка будет подписан – так как старый пакет санкций был введен ровно на год, а значит, грядет новый. «Патриот» с его российско-офшорными корнями из списка наказываемых точно не вылетит. Щелкнуть по носу распоясавшихся коррупционеров – разве можно отказать стране в этом?
Олег Бойко
Теги: Сопельник ВикторСанкціїСанкцииИгорный бизнесМорозов Александр ВикторовичЛотерея ПатриотНовинскийХомутынникХомутинникВиталий Хомутынник
Коментарі:
comments powered by DisqusЗагрузка...
Наші опитування
Показати результати опитування
Показати всі опитування на сайті





