The Huffington Post назвал собственников Lucky Labs гангстерами

The Huffington Post назвал собственников Lucky Labs гангстерами
Популярное американское интернет-издание опубликовало материал, раскрывающий теневую сторону деятельности основателей скандально известной в Украине IT-компании LuckyLabs Сергея Токарева и Рустама Гильфанова.
Украинские медиа многократно писали разоблачительные материалы о компании LuckyLabs и ее российских владельцах Сергее Токареве и Рустаме Гильфанове. Вспомним лишь самые знаковые за последнее время темы.
Апрель-2016. Ряд ведущих сайтов, в том числе, Лига, рассказали, что СБУ провела обыски в офисах компании Lucky Labs Токарева и Гильфанова. Скандальную компанию подозревали в поддержке террористов «ЛДНР» и неуплате налогов…
Октябрь-2016. Буквально все ключевые СМИ, в том числе Forbes и 24, сообщили, что Украина ввела персональные санкции против владельцев компании Lucky Labs Токарева и Гильфанова …
И совсем свежее событие. В июле-2017 «КП» и Газета.ua шокировали заявлением, что за кибератакой Petya.A стоит российская компания Lucky Токарева и Гильфанова…
Несмотря на это расследования многочисленных дел Lucky Labs в Украине идут ни шатко, ни валко, а скандальная компания продолжает вести свой бизнес.
И вот 7 сентября популярнейшее американское интернет-издание The Huffington Post публикует жесткий материал «Novomatic собирается купить русских гангстеров». В нем детально описаны все способы заработка Токарева и Гильфанова в сфере нелегального игорного онлайн-бизнеса, а также их намерение обелить свою репутацию, продав одну из своих компаний Playson ведущему европейскому игроку Novomatic. Вы кликнули на нее и не видите статью? Не удивительно! Спустя всего сутки, 8 сентября, издание «спрятало» текст (хотя ссылку вверху мы по-прежнему видим).
По всей видимости, неугодную публикацию Токарев и Гильфанов убрали уже привычным для себя способом – финансовым. Ранее, точно таким же чудесным образом, исчезали многие неудобные публикации на украинских сайтах. Скорее всего, по аналогичной причине украинские силовые структуры затягивают расследование по делам этих российских граждан.
Что же касается удаленной статьи на The Huffington Post, то, как известно, «рукописи не горят». В нашем распоряжении остались скриншоты публикации, которые мы перевели на русский язык. Предлагаем его вашему вниманию. Выводы делайте сами, ведь текст весьма показателен.
«Novomatic собирается купить русских гангстеров
Иногда случается так, что на пике покупательского бума на рынке крупные компании находят привлекательный актив, который впоследствии оказывается темной лошадкой и приносит больше проблем чем пользы. По информации из нескольких доверенных источников, один из крупнейших китов гемблингового рынка Европы Novomatic Group может скоро угодить в такую западню. Целью их возможного приобретения является относительно небольшая компания Playson, которой владеют несколько граждан подсанкционной России, чьи интересы выходят за рамки декларируемого компанией создания игрового продукта. Компания, которая сейчас выглядит как вполне законный производитель программного обеспечения под Мальтийской юрисдикцией, на самом деле давно связана с производством поддельного программного продукта на российском рынке азартных игр. И, что удивительно, стороной, которая наиболее пострадала от деятельности Playson, является сама компания Novomatic. Создание и использование нелицензионного ПО позволило российской игорной мафии «сэкономить» более 10 млн евро в виде неоплаченных лицензионных платежей. В Novomatic безусловно знают о широком использовании нелегальных копий своих продуктов в странах СНГ в течение многих лет, но ничего не могут с этим поделать. И, несмотря на это, GreenTube — онлайн-подразделение компании Novomatic – собирается заключить сделку с первым номером в списке производителей пиратского гемблингового продукта в России. Достаточно странное решение для такого крупного и уважаемого игрока рынка онлайн гемблинга.
Сергей Токарев и Рустам Гильфанов, российские основатели Playson.
Playson, основанный двумя российскими предпринимателями Сергеем Токаревым и Рустамом Гильфановым, никогда не создавал уникальных игр. Ранее он был известен как Globo-Tech – крупный производитель нелицензионного гемблингового продукта, основанный в Москве в 2001 году. В Globo-Tech изобрели “инновационный” подход к производству игрового ПО для обычных казино — они просто копировали сотни известных игр Novomatic и NetEnt, таких как Book of Ra, Lucky Lady’s Charm, Dolphin’s Pearl, Ironman, Hulk, Gonzo’s Quest, Starburst и других. Globo-Tech стал особо успешным после запрета азартных игр в России в 2007 году. Начиная с этого времени, игорный бизнес в России преимущественно «переехал» в Интернет и Globo-Tech стал одним из ведущих поставщиков поддельного игорного ПО и готовых решений для процветающего черного рынка. Учитывая огромные прибыли и невероятные темпы роста, неудивительно, что компания стала самостоятельно управлять игорным бизнесом, также используя копии известных продуктов компаний Novomatic и Igrosoft — их названия были хорошо знакомы игрокам, которые ранее регулярно посещали обычные казино. Такие бренды, как Va-Bank casino, BestForPlay и Vulkan Deluxe были среди флагманских В2С-продуктов, продвигаемых компанией. В том же противозаконном духе, Globo-tech/Playson незаконно использовали различные защищенные законом бренды и торговые марки в названиях своих онлайн-казино, такие как Gaminator, Admiral, Vulkan и другие.
Поддельная игра Book of Ra на сайте Vulkan
Следуя общемировым тенденциям, собственниками Globo-tech была создана партнерская программа сначала известная как GGS Affiliates, а позже переименованная в Lucky Partners. Она позволяла любому вебмастеру открыть и управлять собственным незаконным онлайн веб-казино, используя пиратское программное обеспечение. Оффшорная регистрация и отсутствие необходимости соблюдать лицензионные соглашения и платить за использование пиратского продукта позволили брендам, входящим в GGS Affiliates, демонстрировать колоссальные темпы роста, а компании — занять значительную долю теневого российского рынка онлайн-гемблинга. Количество URL-адресов, включенных в портфель, росло. Такие имена, как Fortuna, Eldorado, Twistcasino, Velkam Deluxe, Geiminator-Slots, SuperSlots появились позже и все также использовали незаконные продукты, предоставляемые Globo-tech. Были созданы тысячи сайтов, через которые ежедневно проходили огромные деньги. Lucky Partners постарались на славу для того, чтобы научить перспективный российский гемблинговый рынок управлять онлайн-казино с помощью пиратского контента, что привело к недополучению десятков миллионов евро основными легальными производителями, такими как Novomatic, Playtech, NetEnt.
Поддельная игра Book of Ra game на сайте Super Slots
Наблюдая рост прибыли, в компании начали думать над очищением своей репутации. Не прекращая пиратской деятельности, Токарев и Гильфанов решили одновременно запустить несколько легальный бизнесов — в результате на рынке появились такие относительно «белые» бренды как Joy Casino, Casino-X и Pokerdom. В этот раз бренды использовали легальный контент от Microgaming, NetEnt и других поставщиков (в том числе и “законной” части Playson), и управлялись зарегистрированной на Кипре компанией Darklace Ltd. с лицензией Curacao license of Pomadorro N.V. Все эти проекты были собраны под зонтичным брендом партнерской программы PoshFriends. Интересно, что при всем этом покерный сайт PokerDom заявляет, что он управляется Darklace Ltd., но в тоже время он также предлагается и через партнерскую программу Lucky Partners, которая все еще активно работает. Такие бренды необходимы не только для очистки репутации, но, что более важно, служат прикрытием для процессинга платежей на «черных» сайтах.
Топ-страница WebMoney на Super Slots, которая демонстрирует связь с Pomadorro N.V.и geiminator-slots.com
Сайт Geiminator-slots.co с поддельным контентом Novomatic
Все упомянутые бренды и компании известны тем, что они де-факто управляются компанией Lucky Labs, которая базируется в Украине. Маскируясь под компанию-разработчика компьютерных игр, офис Lucky Labs служит основным центром полного цикла бизнес-активностей: управления «серыми» и «белыми» операциями казино, разработки программного обеспечения, партнерских программ, маркетинга, клиентской поддержки и собственно разработки самих игр. Они широко рекламируются на торрент-трекерах и порносайтах с незаконным контентом при помощи собственного карманного агентства AdWise agency (https://adwise.agency/en/) – еще одного фасадного проекта, который прикрывает теневые рекламные кампании, таргетированные на российских клиентов.
Компания, ранее разделенная между Москвой и Киевом, перевезла всех своих 400+ сотрудников в Украину несколько лет назад. Достаточно странный шаг, принимая во внимание российско-украинский конфликт и тот факт, что гемблинг полностью вне закона в Украине. Неудивительно, что такие действия не были положительно восприняты украинскими властями. Собственники компании Сергей Токарев и Рустам Гильфанов в настоящее время активно преследуются и даже внесены в санкционный список Президента Украины, как физические лица, которым запрещен въезд на территорию Украины и активы которых заморожены. Новые партнеры Novomatic Сергей Токарев и Рустам Гильфанов, как показывает простой поиск Google, были вовлечены в процессы отмывания денег, хаккерства и даже терроризма. И пока украинские спецслужбы продолжают расследование незаконных операций этих известных российских граждан, принадлежащая им группа компаний ищет пути улучшения своей репутации, пытаясь выстроить связи с уважаемыми иностранными компаниями.
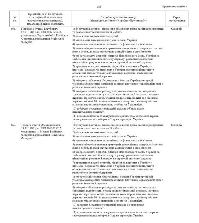
Скриншот дополнения к Указу Президента Украины №133/2017, которым введены персональные санкции в отношении Сергея Токарева и Рустама Гильфанова.
По ироническому стечению обстоятельств, потенциальным партнером Playson сейчас выступает компания, которая наиболее пострадала в результате теневой деятельности его основателей. Роялти, невыплаченные в результате подделки продуктов Novomatic, которые используется популярными российскими брендами казино и произведены Globo-Tech, оцениваются более чем в 10 миллионов евро. Десятки российских онлайновых игровых сайтов продолжают процветать благодаря этому пиратскому контенту и получают значительные объемы входящего трафика как от AdWise agency, так и от партнерской программы Lucky Partners. Около 80% трафика GGR приходится на названия продуктов Novomatic. Если сделка между Novomatic и Playson действительно будет осуществлена, это станет серьезным сигналом для темной стороны гемблингового рынка, особенно в таких странах как Россия, Китай, Турция, о том, что любое нарушение авторских прав может быть впоследствии оправдано и монетизировано. Теперь крупные игроки должны решить, стоит ли давать такой сигнал.
Удивительно, что в Novomatic настолько сильно хотят зарабатывать деньги в России, что готовы поставить под угрозу свою репутацию в Европе. Мы будем с интересом наблюдать за тем, как отреагируют на это австрийские и немецкие клиенты Novomatic и будем надеяться, что менеджмент Novomatic-online понимает, что «некоторые деньги плохо пахнут».
Павел Хоменко, Главк
Теги: PlaysonNovomaticGlobo - TechIT-компанииГильфанов РустамТокарев СергейИгорный бизнесLucky Labs
Коментарі:
comments powered by DisqusЗагрузка...
Наші опитування
Показати результати опитування
Показати всі опитування на сайті







