Налоги платил? Арахамию разоблачили в наглой схеме кидалова

Налоги платил? Арахамию разоблачили в наглой схеме кидалова
Главу фракции "Слуга народа" Давида Арахамию уличили в создании цепочки фейковых компаний для отмывания средств в США.
Разоблачающая информация появилась в телеграмм-канале "Темный рыцарь", который связывают с мажоритарщиками СН Александром Дубинским или Максимом Бужанским. По данным автора, цепочка незаконной деятельности Арахамии тянется еще с 2002 года.
"В 2002 году в США человек по фамилии David Braun основывает компанию Artvertex, которая продает шаблоны сайтов", – сказано в сообщении.

Автор телеграмм-канала называет компанию "кидальной" и приводит доказательства – у нее лишь одна звезда рейтинга, что является самой худшей оценкой.
Также в отзывах клиенты угрожают, что пожалуются в прокуратуру на обман, что приводит к последующей продаже компании.
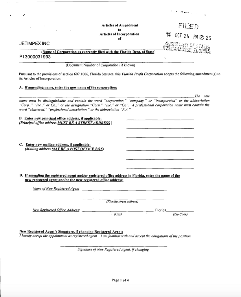
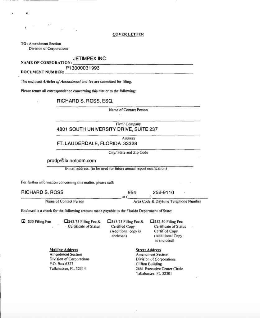
"И только потом оффшор из британских Виргинских островов Callaway Alliance, Inc начинает заправлять сайтом templatemonster.com, вместо проданного artvertex. С 2014 года уже не David Braun, а известный нам David Arakhamia основывает контору JETIMPEX INC с директором фунтом и собой-президентом. При этом неизвестный человек (реестр закрыт) в Британии создает Jetimpex, LP (через которую идут все платежи на TemplateMonster)" – отмечается в телеграмм-канале.
В связи с этим, автор телеграмм-канала задает Арахамии три вопроса:
-
Платил ли налоги с деятельности компаний Jetimpex, Inc, Artvertex, Inc., Jetimpex, LP и Callaway Alliance, Inc Давид Браун-Арахамия в Украине?
-
Проводились ли проверки его компаний прокуратурой штата в США?
-
С какой целью поменял фамилию?
Теги: David BraunArtvertexСШАБужанский МаксДубинский АлександрТемный рыцарьОтмывание денегФейкАрахамия ДавидСлуга Народа
Коментарі:
comments powered by DisqusЗагрузка...
Наші опитування
Показати результати опитування
Показати всі опитування на сайті
