"Распил" бюджета Prozorro й пилой: конвейер и его "смотрящие"

"Распил" бюджета Prozorro й пилой: конвейер и его "смотрящие"
С помощью системы Prozorro, которая запускалась в 2016-м якобы для проведения честных тендеров, уже который год в режиме конвейера «пилятся» огромные бюджетные средства. Работа идет без проблем: тендера выигрывают фиктивные фирмы с конкретными покровителями в самом верхнем эшелоне власти.
Эти факты были вскрыты и доведены до руководства главных правоохранительных органов (Генпрокуратура, Государственное бюро расследований, НАБУ) реальным предпринимателем Ярославом Васильцивым. В прошлом году собранные факты о работающем в режиме non-stop конвейере по дерибану государственных денег были переданы правоохранителям. Но остановить беспредел и добиться успеха в этом деле пока не удалось. Почему так происходит и попробовало разобраться интернет-издание «Досье» в ходе нашего совестного расследования с Ярославом Васильцивым.
«Крыша» с подпорками из «откатов»
Возможно, одной из главных причин неудачи является как раз то, что главными выгодополучателями от деятельности этих фирм являются не их фиктивные зиц-председатели-«фунты», а совершенно конкретные высокопоставленные персоны. Как из недавней постмайданной власти, так и из нынешней.
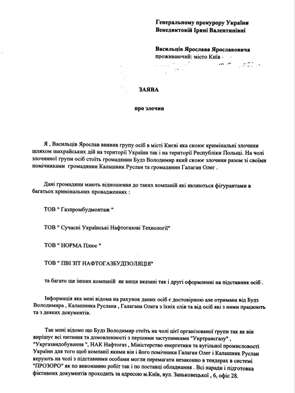
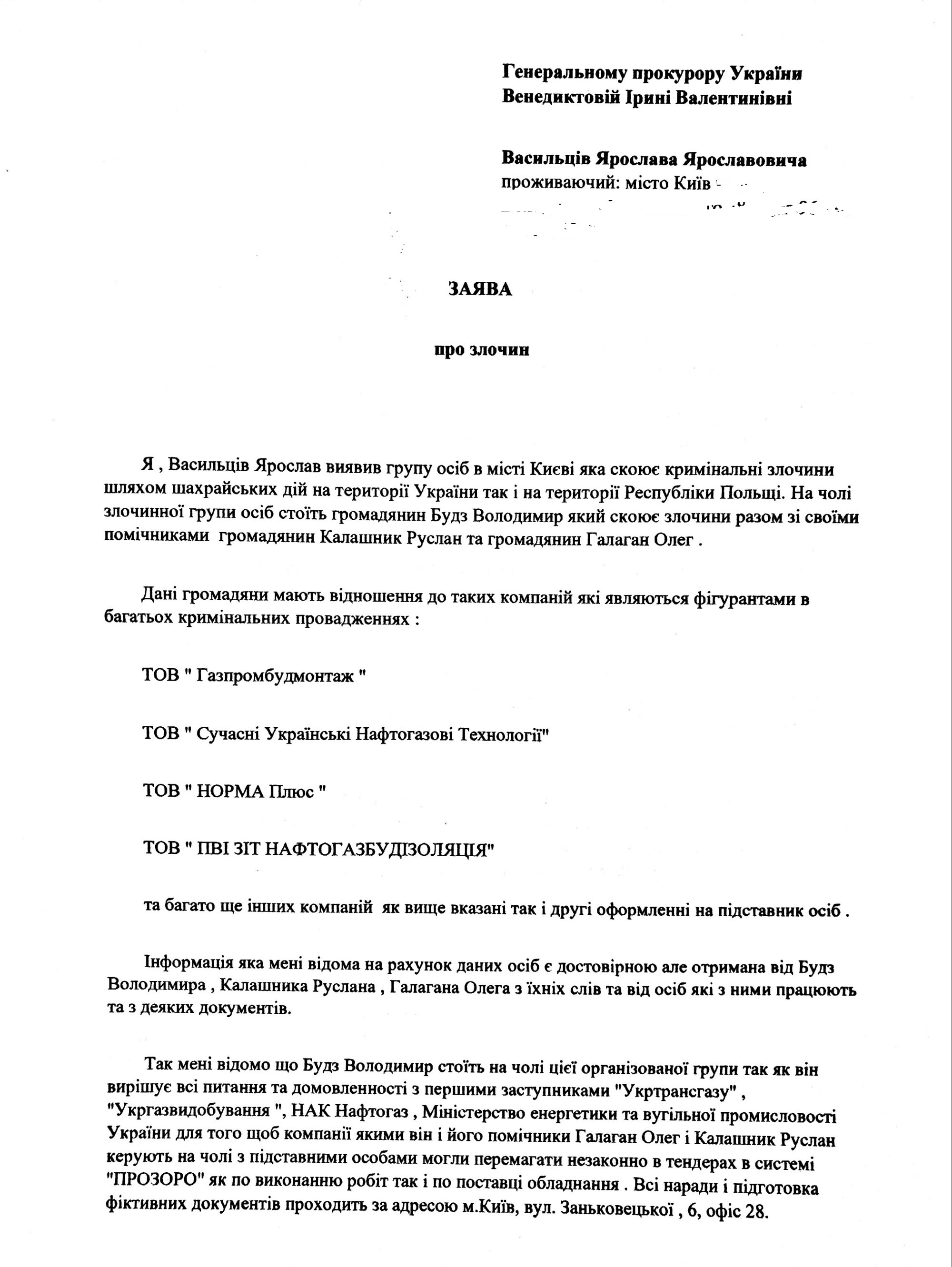
Направленное 27 марта этого года на имя нового генерального прокурора Ирины Венедиктовой заявление о преступлении, указывает поименно как самих «зиц-председателей», чьи фирмы выигрывают тендера по фиктивным документам, так и некоторых их покровителей.
В этом заявлении сообщается, что обнаружена группа лиц в Киеве, которая осуществляет уголовные преступления путем мошеннических действий на территории Украины и на территории Республики Польша. Во главе преступной группы стоит бизнесмен Владимир Будз, который осуществляет преступления вместе со своими помощниками – Русланом Калашником и Олегом Галаганом. Эти граждане имеют отношение к компаниям, которые являются фигурантами во многих уголовных производствах – «Газпромбудмонтаж», «Сучасні Українські Нафтогазові Технології», «НОРМА Плюс», «ПВІ ЗІТ Нафтогазбудізоляція». А также многим другим компаниям, которые, как и указанные выше, оформлены на подставных лиц.
Европейские «мойки» государственных денег
Согласно фактам, изложенным в заявлении на имя Венедиктовой, в Польше cо счетов двух польских фирм - «BUDTECHSERVICE» и WWI GROUP в 2018 и 2019 году предприниматель Игорь Грабовецкий по указанию партнёра Будза Руслана Калашника незаконным путём вывел деньги в сумме 640 000 тысяч польских злотых (на тот момент равнялось 170 000 евро). Эти средства были переведены на счета фиктивной фирмы «Газпромбудмонтаж»; при этом налоги в больших размерах в бюджет Польши уплачены не были. Со счетов еще одной польской фирмы - «MPS Work consulting» - деньги выводились Грабовецким и Калашником на их личные платежные карточки, а затем обналичивались.
До 2018 года соучредителями фирм «BUDTECHSERVICE» и «MPS Work consulting» были Васильцив, Будз, Калашников и Галаган. Однако, в июле позапрошлого года Будз с партнерами «прокинули» Васильцива и поставили в качестве руководителя полностью подконтрольного им «зиц-председателя» Игоря Грабовецкого. Против последнего в Польше полицией города Влоцлавек расследуются два уголовных производства 3В 860.2019 и 2В 881.2019 за присвоение денег в больших размерах и имущества незаконным путем, подделку документов и неуплату налогов в особо крупных размерах. Ему также инкриминируют «незаконное ведение предпринимательской деятельности».
Васильцив свидетельствует, что Будз, Калашник и Галаган и сейчас занимаются отмыванием денег в Польше. Где у них «есть подставные лица с компаниями на территории Польши». В своём заявлении Венедиктовой потерпевший Васильцив конкретно называет две фирмы, которые являются «европейскими мойками государственных денег» - это «ANDALUSIA» и «ALLURE», директором которой является Дмитрий Петушинский. В заявлении подчеркивается: ««ANDALUSIA» и «ALLURE» занимаются подделкой документов и отмыванием денег как из Украины, так и из Польши».
В том же заявлении Васильцив со слов юриста Андрея Петручка и некоторых документов, которые Петручок показывал Васильциву, описывает коррупционные схемы: «Сначала оформляются документы на перевозку из Украины в Польшу определенного количества материалов и товаров. Но в реальности через границу Украины с Польшей проезжают совсем другие материалы и товары. Или вообще не проезжают никакие. У Будза, Калашника и Галагана есть «черная бухгалтерия», которой занимается во Львове бухгалтер Зинько».
Факты подделки документов и отмывания денег указанной в заявлении группы лиц Печерской районной прокуратурой Киева до сих пор не проверены.
 
Владимир Будз
Далее в заявлении дается детальная информация о том, что Владимир Будз как лидер этой преступной группы «решает вопросы» и договаривается с первыми заместителями глав «Укртрансгаза», «Укргазвидобування», «Нафтогаза», Министерства энергетики и угольной промышленности. С этими высокопоставленными чиновниками Будз договаривается о том, чтобы компании его, Будза, а также Калашника и Галагана во главе с подставными лицами «могли побеждать незаконно в тендерах в системе «ПРОЗОРО» как по выполнению работ, так и по поставке оборудования».
 
Руслан Калашник
В этом преступном синдикате Калашник – главный по финансовым потокам. Он дает указания «фунтам» во главе липовых фирм. А также осуществляет контроль подготовки документации. Калашник всегда представляется директором компании «Газпромбудмонтаж» и подтверждает это визитками, на которых указана его должность директора компании.

Олег Галаган
Галаган - №3 в руководящей группе. Он - «решала»: консультирует зиц-председателей по текущей операционной деятельности. А также «кадровик» - решает вопросы с подбором людей для оформления в липовые фирмы.
Все фиктивные документы по выше названным компаниям по указанию Руслана Калашника готовит юрист Андрей Петручок. Тот самый, который лично подтверждал, что оборудование, которое проходит по документам, в реальности не поставляется, а «все документы – сплошь фиктивные, но сделаны хорошо».
В заявлении на имя Венедиктовой указан и конкретный адрес, где проходят как совещания, так и подготовка фиктивных документов – Киев, улица Заньковецкой, 6, офис 28.
В частности, до марта 2018 года в Минэнергетике на должности заместителя министра находился близкий друг Будза Игорь Прокопив. Благодаря Прокопиву фирмы Будза выигрывали самые «вкусные» тендера Министерства энергетики и угольной промышленности, Нафтогаза, «Укртрансгаза», «Укргазвидобування».
Прокопив за свое содействие получал крупное вознаграждение от каждого выигранного тендера. И в результате этого «партнерства» обогатились на миллионы долларов и семья Прокопива, и семья Будз.
Это сотрудничество имеет шансы продолжиться: по достоверной информации в прошлом месяце Игорь Прокопив подал документы в одно из подразделений Министерства инфраструктуры на руководящую должность. Значит, воровство бюджетных денег продолжится? Во всяком случае, синдикат Будза и их «фунты» уже с нетерпением ждут этого назначения. Так как в случае успеха каждый сможет своровать «немного» государственных денег и незаконно обогатится. Надеемся, что НАБУ, ГБР, ОГПУ отреагируют на эту информацию и не допустят назначения этого человека.
Кроме того, по достоверной информации в этот период Будз и его партнеры плотно работали с тогдашним первым заместителем главы СБУ Павлом Демчиной (в 2018-2019 гг. фигурант уголовного дела НАБУ за незаконное обогащение).
Владимир Будз сам рассказывал, что он очень хорошо знаком с Демчиной. И Демчина приносил группе Будза для выигрыша самые «вкусные» тендеры системы Prozorro по газу, нефти, изоляционным материалам и т.д. С предложениями оформить на себя выигрыш крупных тендеров Prozorro к Будзу регулярно наведывался подполковник из центрального аппарата СБУ, который представлял интересы одного из замов председателя Службы. Он приносил документы по тендерам Prozorro с суммами – на выбор. И Будз, Калашник, а также Галаган втроем регулярно встречались с этим подполковником. На этих встречах они спорили - какой именно тендер заберет себе группа Будза.
«Темное наследие» схем
Еще одним высокопоставленным покровителем Будза и Ко был вице-премьер, министр экономического развития в Кабмине Гройсмана Степан Кубив: «Кубив также делал непонятные финансовые операции и в этом помогал Владимир Будз. В управлении семьи Будз есть интересная компания «Екселлио Трейд». На эту фирму Степан Кубив продавал книги со своей компании “ВД“ИН ЮРЕ” стоимостью от 120 до 200 тысяч гривен за одну штуку. Самое главное – реализовывались коллекционные издания об Украине. Другими словами, Степан Кубив как настоящий патриот, вовсю торговал редкими книгами о родной стране. Итог таков: с этой фирмы было продано очень много книг на несколько миллионов гривен. Так Кубив получал деньги за лоббирование интересов своих партнеров. Также известно, что Степан Кубив полностьью пролоббировал победу данной компании в тендере с «Укрпоштою» в 2017 году за определенное вознаграждение».
Кроме того, в 2018 году «Екселлио Трейд» выиграла тендер с региональным филиалом «Укрзалізниці» «Юго-Западная железная дорога» по продаже компании кассовых аппаратов регистраторов расчетных операций «Экселлио DMP 55L». Но тут по непонятным причинам появилась фирма-«прокладка», которая купила у «Екселлио Трейд» эти аппараты и уже по завышенной цене продала «Юго-Западной железной дороге». Также по подтвержденной информации по компании «Екселлио Трейд» ведется в СБУ дело по продаже кассовых аппаратов на оккупированную территорию = а именно в т.н. «ДНР». Но по сегодняшний день оно не доведено до конца и руководство данной компании не привлечено к уголовной ответственности за поддержку сепаратизма. Как видим, сам Будз и его родственники ни брезгуют ничем. И зарабатывают деньги даже там, где идёт военный конфликт и гибнут люди .
СМИ ещё в 2017-ом году писали о связях Кубива с семьей Будз и о победе «Екселлио Трейд» на тендерах «Укрпошты». Указывая среди прочего, что дочь Будза Юлия Будз отвечала в МЭРТе Кубива за вопросы международной торговли. А до этого, в Верховной Рады VIII созыве являлась помощником депутата Кубива.
Будз не ошибся, поставив свою дочь руководить компанией «Профессиональные учетные системы». Именно эта компания очень часто выигрывает наиболее «вкусные» тендера в «Укрзалізнице». Воистину, не каждый сможет управлять подобными масштабными теневыми схемами! И не даром Будз вложил в свою дочку немалые деньги - она закончила Высшую школу бизнеса в Лондоне и использует полученные знания в Украине для реализации этих схем.
Юлия Будз полностью руководила этими проектами, принимала и принимает деятельное участие в схемах своего отца и помогает отмывать незаконно заработанные деньги для своих родственников. А также обучает этому ремеслу свою младшую сестру, Оксану Будз. Оксана тоже является частичным собственником компании «Профессиональные учетные системы». А до этого по нашей достоверной информации получила образование в Соединенных Штатах Америки. Не исключено, что на «честно украденные» в компании «Тернопольгаз» деньги - «Тернопольгаз» обворовывает население Тернопольской области (подробнее об этом - чуть ниже).
Таким образом, исходя из полученной нами информации, утверждаем: у Будза есть влиятельный друг в «Укрзалізныце», который и лоббирует победы его компании в тендерах. Просим НАБУ, ГБР, ОГПУ установить эту личность и прекратить существование «воровского общака», который организовал Будз со своими родственниками и ДРУЗЯМИ (как он любит их называть).
В прошлом и позапрошлом месяцах Будз неодноркатно появляся в Минэнергетики по ул. Крещатик , 34. И появлялся неспроста - компании Будза продолжают регулярно получать выгодные тендера в Министерстве энергетики и угольной промышленности. То есть, «воровской общак» работает и дальше. Просим НАБУ, ГБР и ОГПУ расследовать причастность гражданина Будза к преступным схемам с тендерами в Минэнерго и установить его подельников на руководящих должностях в этом ведомстве. Мы уверены: воры должны сидеть в тюрьме.
Возвращаясь к теме воровства газа группой Будза в Тернополе: деньги, полученные от потребителей за газ, Владимир Будз как учредитель компании «Тернопильгаз» выводит на счета фиктивных фирм «Сучасні Українські Нафтогазові Технології» и «Газойлтехнопайп» (причем у последнего уже аннулировано свидетельство о регистрации). Средства перечисляются как «обратная помощь».
Как уточняет автор заявления со ссылкой на слова руководителя «Газойлтехнопайп» Ивана Ощипка, для получения возможности «отмыть» деньги, это предприятие не додаёт оговоренных объемов газа тернопольчанам. Меньше газа идет в жилые дома и квартиры, для обогрева государственных учреждений, больниц, школ, детских домов (приюты): «Газ с чем-то мешают или добавляют воздух и крадут». В этих махинациях с основном замешаны родственники Владимира Будза. К слову, сам Иван Ощипок принял монашество, учится в Киевской семинарии. Бог ему судья, как говорится.
Стук во все двери
20 июня этого года исполнился год безуспешным попыткам потерпевшего Васильцива привлечь внимание правоохранителей к изложенным им фактам. Сведения о незаконном присвоении Грабовецким и неустановленной группой лиц денежных средств «MPS Work consulting» были внесены в ЕРДР ещё в июне прошлого года под номером 4201910106000195. Тогда же было направлено заявление о преступлении Будза, Калашника, Галагана и Грабовецкого в Печерскую прокуратуру Киева.
Сначала это заявление попало к одному из прокуроров Печерской прокуратуры. Но с августа прошлого года по неизвестным причинам этим делом начал заниматься прокурор этой прокуратуры Валерий Доценко. На протяжении длительного времени он не вызывал Васильцива для предоставления необходимой информации по уголовному производству. Вследствие чего последний даже вынужден был обратиться с жалобой не бездеятельность Доценко в городскую прокуратуру Киева. После чего Доценко таки вызвал предпринимателя на допрос. А затем начал последовательно избегать общения с потерпевшим, не принимая от него необходимую информацию по производству.
В конце ноября 2019 года прокурор Доценко предложил Васильциву встретиться. И прямо на встрече, которая проходила возле Печерской райпрокуратуры, предложил Васильциву взять деньги с Будза и других лиц, на которых Васильцив написал заявление о преступлении. После того, как Васильцив сразу отказался от этого предложении, Доценко закончил встречу и в дальнейшем долгое время снова избегал общения с Васильцивым.
Назначенный в 2015 году прокурором Дарницкого района Валерий Доценко был задержан весной прошлого года полицией Киева за вождение автомобиля в нетрезвом состоянии. Этот факт был задокументирован. Вследствие чего Доценко был временно отстранен от должности. Но затем по неизвестным причинам его перевели в Печерскую райпрокуратуру.
«Прокудин - хубло»
Вследствие бездеятельности Печерской райпрокуратуры в январе этого года Васильцив вынужден был даже обратиться в Генпрокуратуру с повторным заявлением о преступлении.
Автор заявления следующим образом объясняет эту бездеятельность: «Руководитель Печерской прокуратуры Дмитрий Прокудин вместе со своим заместителем Владимиром Фурманом, который непосредственно курировал расследование моего заявления о преступлении, увидели возможность заработать крупную сумму денег с группы Будза. Что они и сделали, заблокировав расследование в отношении этой группы. Исполнителем выступил прокурор Доценко. Доценко получил деньги, чтобы дело было «похоронено». Совсем недавно мне неофициально сообщили в 4-ом отделе Генеральной прокуратуры: «Дело против группы Будза перспектив не имеет, потому что Доценко «занес всем». А уже не по неофициальной, а по достоверной информации: Фурман в конце прошлого года приобрел оформленную на родственников квартиру в столичных «Новопечерских Липках». Откуда деньги на покупку элитной недвижимости у этого госчиновника – в дополнение к уже имеющемуся у него в личном пользовании автомобилю Audi Q7, новенькому Apple iMac-27 по цене 90 тысяч гривен на его столе в рабочем кабинете и т.д.?»
По самой последней достоверной информации руководил всем делом и вымогательством вознаграждения за закрытие дела против группы Будза Владимир Фурман. Он лично встречался с Галаганом и обсуждал размер суммы для закрытия дела. После чего у госчиновника и появилась элитная недвижимость. Не обошлось и без «благословения» в этом деле от руководителя Печерской прокуратуры Дмитрия Прокудина. Который и «похоронил» дело против групы Будза - оно не расследовалось, за год менялись три раза следователи...
У самого Прокудина есть оформленные на родственников пять автомобилей бизнес- и премиум-класса. «Прокудин облагает налогом Печерский райотдел полиции, требуя, чтобы его сотрудники покупали ему дорогие часы и другие предметы роскоши», - утверждает Васильцив. Действительно, как рассказывал в августе прошлого года лидер движения «Традиция и Порядок» Богдан Ходаковский, Дмитрию Прокудину на День рождения подчиненные подарили часы Hublot стоимостью 20 тысяч долларов. 
В мае позиции Прокудина еще больше усилились: назначенный Венедиктовой с 4 мая исполняющим обязанности прокурора Киева Роман Говда (на этот пост Говда вернулся после небольшого перерыва: он покинул кресло прокурора столицы в декабре прошлого года) – лучший друг прокурора Прокудина. Как писали СМИ, комментируя перевод Прокудина на должность главы Печерской прокуратуры из Подольской прокуратуры 31 января 2019 года, «Прокудин - любимчик прокурора Киева Романа Говды, который считает его едва ли не лучшим руководителем местной прокуратуры в столице. Говда давно хотел поставить на Печерск своего человека, однако, там работал руководителем Авдеенко, который был назначен в 2016 году по результатам открытого конкурса. Переиграть конкурс было невозможно. Поэтому, чтобы сменить начальника «под себя», в Киевской местной прокуратуре N 6 Говда инициировал масштабную проверку и комиссии проверяющих, по некоторым данным, были даны указания найти как можно больше негатива. В таком районе столицы как Печерск с этим проблем никогда не было, учитывая расположение почти всех органов власти, поэтому компромата накопали больше чем было заказано и на «ручной» Раде прокуроров в декабре 2018 года рекомендовали уволить Авдеенко, чтобы освободить место для кандидата Говды. Новым начальником печерских прокуроров как раз и стал Дмитрий Прокудин».
По имеющейся информации Говда и Прокудин совместно «крышевали» в Печерском районе такие преступные сферы как проституция, деятельность накропритонов.
Прокудин и Ко действовали по четкой схеме: раскрывали преступления, связанные с проституцией и наркоманией – возбуждали уголовные дела – получили большие взятки – переводили дела в разряд административных правонарушений.
Также они «кормились» со строек на Печерске. Здесь схема была несколько иной: Прокудин с Фурманом высылали на стройки запросы о предоставлении документации по строительству. И тут же, не дожидаясь получения документации, возбуждали уголовные дела, блокировали работу строительных фирм, их имущество, счета.
Выходит, что Прокудин и Ко наладили конвейер по вымогательству, создали настоящий преступный синдикат по реализации незаконных схем и обогащению. Вероятно, поэтому Прокудин и является таким ценным прокурором для Говды.
За такую деятельность самого Говду и снял предыдущий генпрокурор Рябошапка. Но в мае Говда по решению нового генпрокурора Венедиктовой снова вернулся.
Бездеятельность Офиса генпрокурора = неуважение к президенту Украины
После того, как месяцами от Печерской прокуратуры не было никакой реакции, Васильцив продублировал свое заявление о преступлении в прокуратуру Генеральную. «По сегодняшний день ни одно заявление не рассмотрено ни Генеральной прокуратурой, ни Печерской», сообщил шесть месяцев назад Венедиктовой Васильцив.
В этой связи Васильцив также вспоминает: «Угрожая одному из моих родственников, Будз говорил, что дело против его группы не имеет никаких перспектив расследования, поскольку первый зам генпрокурора является его близким другом и будет блокировать расследование».
Самой Венедиктовой это дело должно быть хорошо известным – в качестве врио директора ГБР она получила первое заявление о нём от Васильцива ещё 24 января этого года.
А потом до ухода Венедиктовой в генпрокуратуру было к ней ещё два аналогичных обращения. Как и первое, также безрезультатных.
Более того, следователь ГБР Анатолий Данилюк, у которого в производстве находилось обращение по поводу преступной группы Будза, в феврале позвонил Васильциву по поводу его заявления о преступлении. Но на допрос не вызвал. А после четырех звонков от самого Васильцива сообщил тому, что это обращение передано….в Святошинский район. Только как совершенное преступление в Печерском районе можно передавать в Святошинский – одна загадка?! Однако этому «недоразумению» тоже есть объяснение - по неофициальной информации за блокирование расследования следователь ГБР Данилюк взял вознаграждение в особо крупном размере. Просим НАБУ расследовать данный факт.
Более того, в процессе расследования обращения о преступной группировке Будза в апреле этого года Васильцеву позвонил участковый уже из Голосеевского района. И проинформировал, что сюда дело передали из Генпрокуратуры. На что Васильцев ответил, что дело необходимо передать в Печерскую прокуратуру и продиктовал номер в ЕРДР.
Пока шли все эти пертурбации, Васильцив три раза дублировал свое обращение в НАБУ
Но и этот орган не продемонстрировал желания заниматься расследованием возможных масштабных злоупотреблений с бюджетными деньгами. Вместо расследования этих злоупотреблений Агентство передало заявление о преступлении от Васильцива в ГБР.
Ни один из этих органов не прореагировал и на факты угроз расправой от Будза и Калашника Васильциву и его родственникам. Эти угрозы начались после попыток Васильцива расследовать дело в отношении группы Владимира Будза.
Последней попыткой о помощи стало обращение Ярослава Васильцива с просьбой оказать содействие расследованию обнародованных им фактов к народным избранникам. 8 апреля потерпевший направил обращение главе комитета по вопросам правоохранительной деятельности Денису Монастырскому. 14 апреля комитет Монастырского, рассмотрев, обращение от депутата ВР по заявлению Васильцива, единогласно обращение поддержал. И обратился в Офис генпрокурора «для рассмотрения, проверки изложенных в обращении доводов и применения при наличии оснований необходимых мер реагирования соответственно требованиям действующего законодательства».
То есть, депутаты-«слуги народа» оперативно отреагировали на обращение Васильцива, единогласно поддержав его. А сколько еще генпрокурор от «Слуги народа» Венедиктова будет рассматривать обращение своих коллег по партии, и когда она будет реагировать «соответственно требованиям действующего законодательства»?
Тот факт, что за прошедшие 3,5 месяца никакой реакции от генпрокурора и подвижек в расследовании дела не последовало, можно считать «плевком от Венедиктовой в лицо всей правоохранительной системе страны». По неофициальной информации в ответ на обращение комитета Монастырского происходит поверхностная проверка. И депутатам будет дан ответ из серии «ни о чем». Данным служебным расследованием занимается прокурор городской прокуратуры Киева Олег Талала, который по непонятным причинам вот уже как четвертый месяц не может провести служебное расследование и затягивает его. И в результате ни один из выше указанных прокуроров не опрошен так, как полагается и не уволен за саботаж расследования данного дела . Почему так все происходит?
На сегодняшний день Васильцив фактически остается «персоной нон-грата» в Печерской райпрокуратуре, городской прокуратуре Киева и Генпрокуратуре. Во всех этих органах руководители избегают встреч с предпринимателем и блокируют расследование его заявления о преступлении. Несмотря на то, что Васильцив как бывший сотрудник полиции сам провел расследование. И официально предоставил правоохранителям всю необходимую информацию о сговоре группы лиц из обнаруженного им преступного синдиката Будза со столичной Печерской прокуратурой №6, 4-м отделом городской прокуратуры Киева в лице начальника отдела В.Логачова, и начальника 4-го отдела Генеральной прокуратуры.
Васильцив подчеркивает, что готов подтвердить предъявленные им обвинения на детекторе лжи. Теперь, после обращений к генпрокурору Венедиктовой не только самого Васильцива, но и народных депутатов, предприниматель надеется, что в самое ближайшее время правоохранительные органы, наконец, все же вынуждены будут заняться проверкой изложенной им в заявлениях информации и готов оказывать им всяческое содействие для этого. Оставляя в то же время за собой возможность в отсутствие надлежащей реакции правоохранителей обнародовать новые резонансные факты преступной деятельности упомянутых им фирм синдиката Будза и их высокопоставленных «бенефициаров» в действующей власти.
«Полтора года назад Зеленский обещал: «Придет весна – будут посадки». С тех пор прошла одна весна, вторая…Уже и второе лето движется к концу, а обещанных посадок все нет. Бездеятельность Офиса генпрокурора показывает полное неуважение его руководителя к президенту Украины и реализации его курса», делает вывод Ярослав Васильцив.
Поэтому на этой неделе Васильцив совместно с интернет-изданием «Досье» по итогам проведенного ими расследования деятельности синдиката Бузда-Калашника-Галагана, направляет обращение по поводу деятельности этого синдиката президенту Владимиру Зеленскому.
В обращении говорится: «Просим президента Украины Владимира Зеленского повлиять на руководителя ОГПУ Ирину Венедиктову, чтоб все перечисленные прокуроры и участники организованной преступной группы во главе с Владимиром Будз были привлечены к уголовной ответственности и понесли наказание за свои преступные деяния.
Предоставляем всю достоверную информацию о компаниях которые относятся к «воровскому общаку» - они воруют государственные деньги и мошенническим путем уклоняются от уплаты налогов в государственную казну нашей страны. Это «Нафта энерго – инвест», «Газэнергокомплект», «Промтехресурс», «АВ-Добрынь», «Газпромсервис», «МАЗ-сервис», «Ватра –ИФ», «ВЕДА Подолье», «Тернопольгаз», «Тернопольоблгаз», «Бережанская агропромтехника», «Тернопольгазсервис». Также в их числе - «Ростовщик», «Максидрил», «Стилгруп Трейд», «Газэнергохолдинг», «Ортоспайн К», «Крымская Газовая Компания», «ЮПР», «Стевия – Украина», «Энергхимпром», «Газэнерго холдинг», «ОСОВА». И самое интересное - это Благотворительный фонд имени Апостола Матфея и Религиозная община Украинской Православной церкви Нежинской Епархии парафии Свято-рождественской Пресвятой Богородицы села Полова Прилуцкого района Черниговской области».
Антон Левандовский, Досье
Теги: Газэнергохолдингуклонения от уплаты налоговВасильцив ЯрославНАБУГБРДанилюк АнатолийВенедиктова ИринаГовда РоманПрокудин ДмитрийБудз ОксанаУкрпоштаУкрзализныцяЕкселлио ТрейдКубив СтепанДемчина ПавелМинэнергоПрокопив ИгорьПетручок Андрейподделки документовКоррупцияALLUREANDALUSIAПетушинский ДмитрийОтмывание денегMPS Work consultingBUDTECHSERVICEГрабовецкий ИгорьГалаган ОлегКалашник РусланМошенничествоБудз ВладимирТендерыProZorrо
	Коментарі:
comments powered by DisqusЗагрузка...
Наші опитування
Показати результати опитування
Показати всі опитування на сайті
				
				
				
				
				
				
				
				
			
    
    
    
    
    
    
		
		