Абонплата на газ резко взлетела: как украинцам посчитали новые платежки

Абонплата на газ резко взлетела: как украинцам посчитали новые платежки
В Украине с 1 января пересчитали размер абонплаты. Некоторые облгазы повысили свои тарифы в два раза. При этом каждый украинец платит по-разному, сумма зависит от объемов потребления.
Об этом говорится в материале Oбозревателя. Размер абонентской платы считается исходя из потребления за прошлый год. Весь газ в кубометрах, которые потратили, умножают на тариф и делят на 12 месяцев. То, что получилось – абонплата.
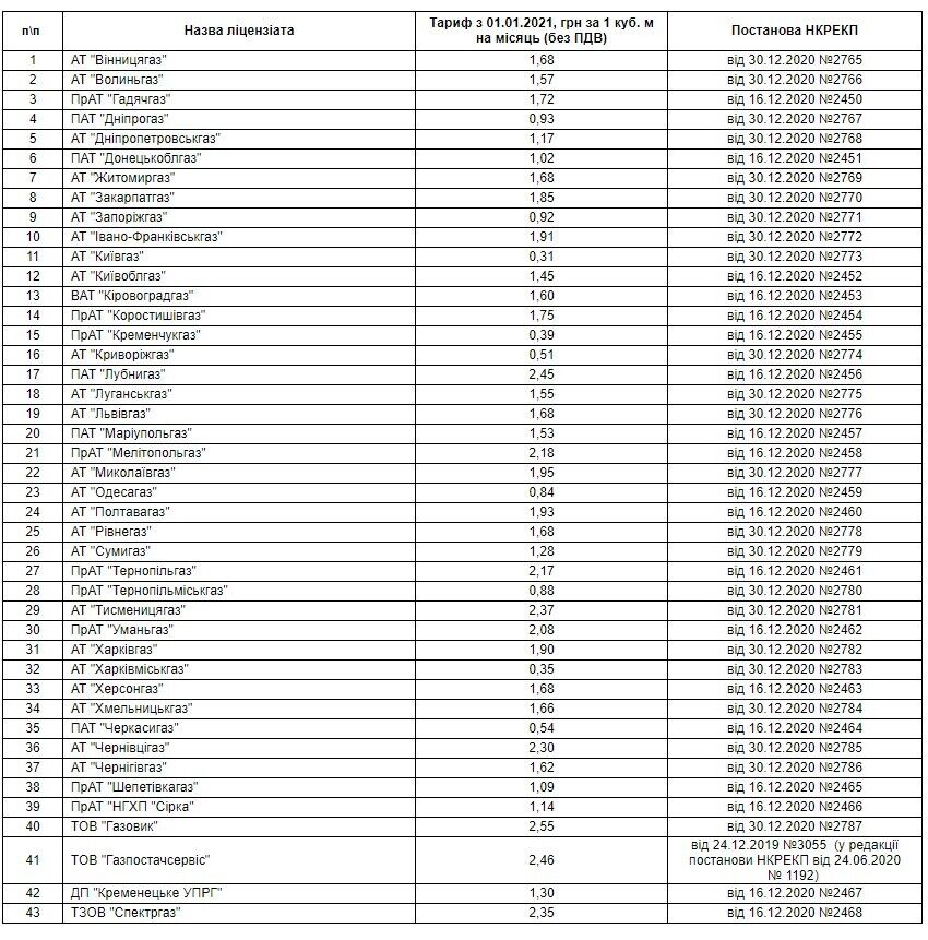
Тариф у каждого облгаза свой. Он зависит и от протяженности труб, и от зарплат на предприятии, и от сопутствующих расходов. Компании подали свои расчеты и комиссия уже успела их утвердить. Ниже в таблице можно ознакомиться с размером абонплаты:

Cтоит учитывать, что в таблице указаны цены без НДС. Чтобы узнать конечную стоимость, к тарифу нужно добавить 20%. К примеру, для клиентов "Тернопольгаза" цена выросла с 1,35 до 2,64 грн за кубометр.
Для понимания:
-
с 2020 года тариф на газ разделили на две составляющие: за само голубое топливо и за его доставку и распределение (абонплата);
-
"абонплату" нужно вносить ежемесячно, даже если вообще не пользовались газом;
-
ее размер зависит от объемов потребления в "газовый" сезон (с октября по октябрь прошедшего года);
-
если за "газовый сезон" потратили 700 кубов, то платеж нужно будет вносить за 50 кубометров в месяц (общий объем делится на 12 месяцев).
Теги: Тарифыкоммунальные тарифыПодорожаниеГазАбонплатаКоммунальные услугиПлатежкиЖКУ
Коментарі:
comments powered by DisqusЗагрузка...
Наші опитування
Показати результати опитування
Показати всі опитування на сайті
