Moderna дает вдвое больше антител, чем Pfizer

Moderna дает вдвое больше антител, чем Pfizer
После полной вакцинации препаратом Moderna (Spikevax) организм вырабатывает более чем в два раза больше антител против коронавируса, чем после Pfizer-BioNTech (Comirnaty).
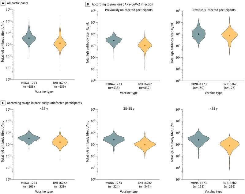
В исследовании участвовали 1647 медиков: 688 человек были привиты «модерной» (средний возраст 43,2 года; 76,7% женщин; 21,8% ранее были инфицированы) и 959 – «пфайзером» (44,7 года; 84,9% и 13,2% соответственно).
Среднегеометрический титр антител у первых был 3836 единиц/мл по сравнению с 1444 у людей с «пфайзером». При этом ранее инфицированные были с куда более высокими титрами – 9461, чем не заражавшиеся до вакцинации – 1613.
В обеих группах у вакцинированных «модерной» были более высокие титры по сравнению с «пфайзером»: ранее неинфицированные – 2881 vs 1108, ранее инфицированные – 10 708 vs 8174.

Авторы отметили, что уровни антител отрицательно коррелировали с возрастом у ранее неинфицированных, и были самыми высокими среди участников до 35 лет.
Во всех возрастах ранее неинфицированные, привитые «модерной», имели более высокие титры по сравнению с привитыми «пфайзером».
Антитела – только один из важных компонентов иммунного ответа наряду с клеточным. Авторы не проверяли, как различия в титрах влияют на эффективность защиты, и также не проверяли уровни конкретно нейтрализующих вирус антител – только суммарные (то есть, нейтрализующие + связывающие).
Бельгийцы подчеркивают: неясно, как такие различия между вакцинами отражаются на их эффективности, и исследование не отвечает на вопросы, а) какая вакцина более эффективна от заражения/болезни, б) антитела после какой дольше остаются в крови.
Ученые полагают, что разницу можно объяснить более высоким содержанием иммуногена – мРНК – в дозе «модерны» по сравнению с «пфайзером», а также более длительным интервалом между дозами (четыре недели против трех).
Теги: PfizerModernaЭпидемия коронавирусаCOVID-19ПрививкикоронавирусВакцины
Коментарі:
comments powered by DisqusЗагрузка...
Наші опитування
Показати результати опитування
Показати всі опитування на сайті
