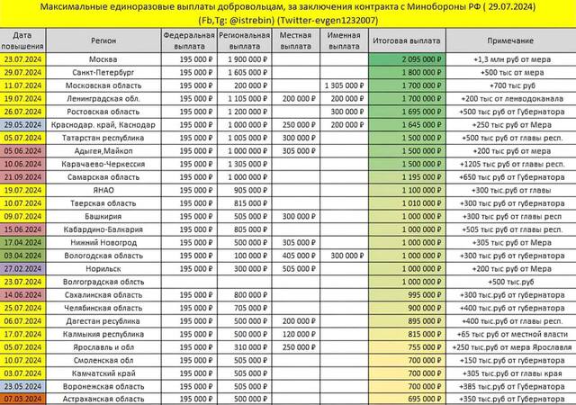
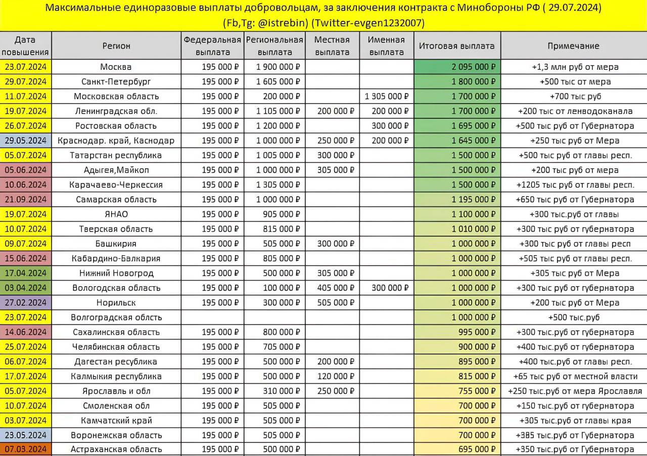
У мережі публікують файл, як виглядають виплати за укладення контракту з ЗС РФ
Читать на русском

У мережі публікують файл, як виглядають виплати за укладення контракту з ЗС РФ

У мережі публікують файл, як виглядають виплати за укладення контракту з ЗС РФ
Найбільші виплати в Москві — $39 тисяч. Найменша — $11 тисяч, в маленькому місті.
Для розуміння: за укладення першого контракту з ЗСУ, одноразова грошова допомога - від $24.000 до $30.000.
Також є допомога від мерії міста, в якому ви прописані.
Теги: ВыплатыВиплатиРосійська арміяАрмия РоссииЗС РФВС РФконтрактная армияРоссияРосія
Коментарі:
comments powered by Disqus00:20
04 листопада 2025 г.
23:29
23:18
Загрузка...
Білий дім звинуватив демократів у шатдауні, представивши їх у вигляді привидів на відео до Геловіну
3
Співака-путініста Лепса терміново госпіталізували з важким отруєнням після концерту у Владивостоці
3
Наші опитування
Чи вірите ви, що Дональд Трамп зможе зупинити війну між Росією та Україною?
Показати результати опитування
Показати всі опитування на сайті
Показати результати опитування
Показати всі опитування на сайті
