АНТИКОР — національний антикорупційний портал
МОВАЯЗЫКLANG
Київ: 8°C
Харків: 8°C
Дніпро: 8°C
Одеса: 8°C
Чернігів: 9°C
Суми: 8°C
Львів: 4°C
Ужгород: 8°C
Луцьк: 4°C
Рівне: 3°C

Стало відомо, скільки турецького щебеню імпортує Україна

Читать на русском
Стало відомо, скільки турецького щебеню імпортує Україна
Стало відомо, скільки турецького щебеню імпортує Україна

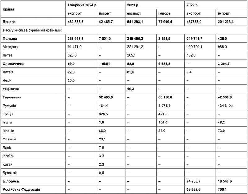
Протягом першого півріччя 2024 року до України з Туреччини імпортували більш ніж 32,4 тисячі тонн щебеневої продукції/наповнювачів для бетонів/баластів.

Про це повідомили в Асоціації «Виробників нерудних будівельних матеріалів України» з посиланням на дані Державної служби статистики України щодо зовнішньої торгівлі окремими видами товарів за країнами світу.

Протягом останніх трьох років Туреччина залишається лідером за обсягами постачання щебеневої продукції/наповнювачів для бетонів/баластів в Україну: у 2023 році було імпортовано близько 60,16 тисячі тонн, у 2022 році – 42,6 тисячі тонн.

Крім Туреччини, цю продукцію до України постачали з таких країн (перше півріччя 2024 / 2023 / 2022, дані в тисячах тонн, заокруглено):

  • Польща (7,8 / 3,5 / 0,4);
  • Словаччина (1,7 / 9,6 / 3,2);
  • Румунія (0,16 / 4 / 134);
  • Греція (0,3 / 0,5 / 0.0).

Щодо експорту щебеневої продукції, найбільшими були поставки до Польщі (369 / 319,5 / 249,7) та Молдови (91,5 / 221,3 / 109,8).

Як зазначено в опублікованих даних, у 2022 році Україна імпортувала 18,5 тисячі тонн щебеневої продукції з Республіки Білорусь та 700 тонн з Російської Федерації (експортуючи у 2022 році до РБ 24,7 тисячі тонн і до РФ – 53,2 тисячі тонн).

В цілому, згідно з оприлюдненими даними, обсяг експорту та імпорту гальки, гравію, щебеню або подрібненого каміння, яке зазвичай використовується як наповнювач для бетону чи баласт для мостіння шосейних доріг і залізничних колій або як інші види баласту, галька та кремінь, термічно оброблені або необроблені (код УКТ ЗЕД 2517 10) становив:

 dqxikeidqxidant

 


Теги: УкраїнаУкраинаТурцияТуреччинаЩебеньІмпортИмпорт

Дата і час 14 вересня 2024 г., 08:17     Переглядів Переглядів: 1951
Коментарі Коментарі: 0


Коментарі:

comments powered by Disqus
10 листопада 2025 г.
loading...
Загрузка...

Наші опитування

Чи вірите ви, що Дональд Трамп зможе зупинити війну між Росією та Україною?







Показати результати опитування
Показати всі опитування на сайті
0.042404