Reform or farce? Prosecutor testing enters finishing line

Reform or farce? Prosecutor testing enters finishing line
The testing of prosecutors continues. On October 9, the GPU released the lists of those admitted to the penultimate stage of the prosecutor’s competition.
There are a total of 4 leadership positions in each local prosecutor’s office: prosecutor, first deputy, and two deputies. After the first stage, almost no one was weeded out, but the second stage significantly reduced the ranks of contenders for warm prosecutor’s chairs. The content of the finalist lists is also interesting, as they include well-known corrupt figures, sons, and sons-in-law of big figures from the General Prosecutor’s Office of Ukraine and other agencies, as well as many other "unreliable" individuals.
Well, let’s sum up the results of the testing for general abilities and draw an overall picture after two competitions by analyzing the lists of "valuable" finalists for leadership positions.
The Results of the Second Stage
As is known, within the framework of the reforming of the prosecutor’s office, a four-level open competition is being held to fill the positions of prosecutors and administrative positions in local prosecutor’s offices. The competition consists of: 1) testing for knowledge of legislation; 2) testing of general abilities; 3) testing of personality characteristics; 4) an interview.
About the twists and turns and results of the first stage of the competition and the peculiarities of conducting the second «Prosecutor’s Truth» has already written. It is relevant to summarize the results of the second stage and characterize the finalists of the competition.
The purpose of the general abilities testing was to assess the candidates’ ability to analyze, process, and interpret large amounts of information in a short time, find causal relationships between them, and draw correct conclusions. The general abilities test consisted of three blocks: 1) logical; 2) numerical; 3) verbal. The test "adapted" to the candidate’s abilities based on their responses. The test lasted 47 minutes. A positive or negative interpretation of the test scores was made only after all the participants of this stage had completed their testing. This was due to the fact that the results obtained at this stage for each candidate were compared with the results of other candidates after everyone had completed their tests.
The results of the second testing are quite disappointing, as of the one hundred possible points, the average result was only 29 points. Unlike the first stage, no one scored 100 points. The maximum score for the second stage test was 93.33, which was achieved by Roman Mykhaliuk, the deputy prosecutor of the Sykhiv district, Lviv. He also had the highest overall score for two stages across Ukraine — 193.33.
When considering the results by region, the best average result of the second stage was achieved in the capital — 33.3, while the Ivano-Frankivsk region was the worst, showing 25 points on average. The minimum number of points was 5. Truly, some prosecutors simply did not attend the second testing.

The results cannot be contested. However, many contenders submitted statements for a retest due to technical malfunctions of the online tests. It is also impossible to find out which questions had correct answers and which had incorrect ones. This data is not provided by the developer company. The only available data was the points for each block and the overall average score calculated by the administrator.
Despite the fact that the tests are already concluded for candidates for positions as local prosecutors, their appointments will only take place after the appointment of heads of local prosecutors, first deputies, and deputies, who still need to pass a psychological test and interview. Only after this will the head of the regional prosecutor’s office issue a decree on the appointment of local prosecutors to positions, taking into account the candidate’s final score and the number of staffing units in the corresponding local prosecutor’s office.
Final Score for Two Stages and a Brief Description of Finalists for Leadership Positions
Candidates for future positions as heads of local prosecutor’s offices are facing two more trials, but the names of the finalists are already known. In each local prosecutor’s office, such candidates number 16 (sometimes there may be 17-18 if someone scores the same number of total points) — 4 for each administrative position. After the interview, only 12 will remain — three for each position. The three selected candidates for each position of the head of a local prosecutor’s office will be submitted for consideration to the Prosecutor General of Ukraine, while the positions of their first deputies and deputies will be submitted to the head of the regional prosecutor’s office.
As David Sakvarelidze explains in justification in his Facebook, after the publication of the rating lists of candidates for leadership positions in local prosecutor’s offices, he became aware of pressure from failed candidates on those admitted to the final stages. Allegedly, the goal of such pressure is to make room for the right person. To solve this problem, the GPU decided that the published rating lists are final, and only those candidates who were originally included are admitted to the next stages of the competition. That is, even if someone refuses, there will still be no vacancy.
Promises are one thing, but reality shows the following.
The national average final score based on the results of the two testings in Ukraine was 107 out of 200 possible points. The lowest final result was only 37 points for two stages. The highest was 193.33. In the regional score, Lviv region became the leader, scoring an average of 113.4, while Dnipropetrovsk region took the last place with an average result of 101.8 points.
We will outline the regional score according to the scheme: region — regional average; lowest and highest final score.

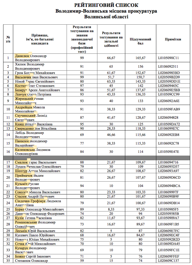
On average, the list of candidates for prosecutors consists of 70% of already serving employees. For example, the rating list of leaders for the Volodymyr-Volynskyi local prosecutor’s office consists of 37 people, 26 of whom are current employees of the Volyn region prosecutor’s office. And only two of the 16 finalists are new faces in the prosecutor’s office.

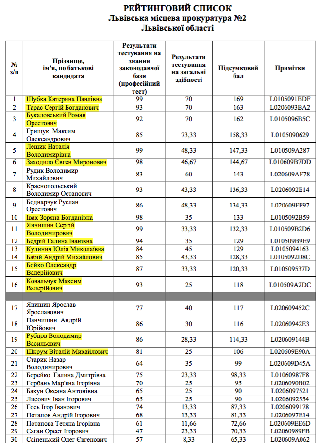
The top places in the lists are almost 80% occupied by current prosecutorial employees. For example, of the 16 finalists for the leaders of the Mohyliv-Podilskyi local prosecutor’s office, 13 are current employees of the Vinnytsia region prosecutor’s office. A similar situation occurs in the rating list of Lviv local prosecutor’s office No. 2, where out of 16 finalists, 12 are acting prosecutors, and the majority of «new partners» ended up at the bottom. And this is far from an exception but rather the rule.


This picture is characteristic of most regions. That is, even if 100% priority is given to new people, the renewal of the prosecutor’s office can occur at a maximum of 30-35%, certainly not on 70%. Moreover, it must be taken into account that the new people, as a rule, did not show good results, and their rating is significantly lower than that of current prosecutorial employees. And this further reduces the chances of renewal.
So, 70-80% of the finalists are current prosecutorial workers. Also, relatives of current or former high-ranking prosecutors, who, as a rule, are among the top ten, can often be seen in the rating lists. Let us see who we see among the top contenders for leadership positions?
The highest score in the Sumu region was achieved by the current deputy prosecutor of Sumy city, Valeriy Mohylnyi (166.3). The prosecutor of Sumy city, Volodymyr Kovtun, came 7th place in the ranking of the Sumy local prosecutor’s office with a final score of 142 points. The only external candidate admitted to the 3rd stage in this list was Denys Koraban, who serves in the territorial defense of Sumu. His result was 145.3 points and he took sixth place in the list. The eleventh place went to the current prosecutor of the Sumy district, Oleh Tkalenko, with 132.3 points. The fourth place in the list of the Romny local prosecutor’s office was taken by the current Romny interdistrict prosecutor, Volodymyr Kuzchenko, with 144.7 points. The second place in the list of the Konotop local prosecutor’s office was taken by the senior prosecutor of the department of oversight of criminal proceedings in the transportation sector of the Sumy Regional Prosecutor’s Office, Aleksandr Altuhov. In the list of the Shostka local prosecutor’s office, the Hlukhiv interdistrict prosecutor, Vladyslav Pravdyuk, with 135.3 points, occupied the third place.
The best results in the list of the Kremenchuk local prosecutor’s office were shown by former prosecutor of one of the districts of Luhansk region, currently – ATO participant Oleksiy Zakharov (157 points), former police officer, currently – lawyer Serhiy Portyanko (149.3 points), and former prosecutor Vadym Kokhno (142.3 points).

Hryhoriy Hryn, prosecutor of Poltava city – son of Hryhoriy Hryn, former employee of the General Prosecutor’s Office of Ukraine and husband of Hanna Hryn, prosecutor of the department of organizing the participation of prosecutors in criminal proceedings of Poltava regional prosecutor’s office, is a contender for administrative positions of Poltava local prosecutor’s office. Hryhoriy scored 132.3 final points and took 11th place in the ranking. Working in the position of Lubensky inter-district prosecutor and using the cover of his father from the GPU, Hryhoriy Hryn put all the power and inspection bodies of the district under tribute. In addition, prosecutor Hryn is accused of covering up tax evasion, with bribe amounts reaching up to 100,000 euros, and closing criminal cases for money even in serious crimes.

Ranked 9th, having scored 129.3 points, in the rating list of Kobeliatsky local prosecutor’s office of Poltava region was Pavlo Petrov – prosecutor of Mashivsky district of Poltava region and husband of Anastasiia Petrova, prosecutor of the human resources department of Poltava regional prosecutor’s office.

Among the representatives of the top 16 candidates for leadership positions in the local prosecutor’s offices of Vinnytsia region, an absolute majority have influential relatives or many years of experience working in law enforcement agencies. In particular, the leaders of the second stage of the open competition by the GPU were prosecutor of Lypovets district of Vinnytsia region Ivan Kryvoruchko, who during Yanukovych’s era was the head of the department of protection of children’s rights and freedoms of Vinnytsia regional prosecutor’s office; son of notary Ihor Lavrenov - Roman Lavrenov; son of the former deputy chairman of Vinnytsia Court of Appeal Ivan Petryshyn - Pavlo Petryshyn; son of a judge of Vinnytsia Court of Appeal Volodymyr Soprun - Volodymyr Soprun; wife of Vinnytsia City Council deputy Stapana Bezsolova - Svitlana Bezsolova; head of the apparatus of Vinnytsia Economic Court Serhii Klimchuk. In addition, the lists include longtime employees of the prosecutor’s office Liudmyla Karmanchuk, Oleksandr Hutsol, Oleksiy Soloviov, Oleh Chaika, as well as well-known Vinnytsia lawyers Borys Slobodyan, Oleksandr Mazur. The highest score (169.7) was scored by the senior investigator for especially important cases of the investigative department of Vinnytsia regional prosecutor’s office, 27-year-old Oleh Stopinchuk. Interestingly, Oleh Stopinchuk is married to the only daughter of the deputy mayor of Vinnytsia, Andrii Reva - Natali. Did this circumstance influence the high rating of the young prosecutor?

The top three spots on the list of Lviv local prosecutor’s office No. 2 were occupied by current prosecutor employees. The first place was taken by Kateryna Shubka – senior prosecutor of the Lviv prosecutor’s office. The second place was raised by Serhii Taras – senior prosecutor of the Sykhiv district prosecutor’s office of Lviv. And the third place was awarded to Roman Bukalovskyi – senior prosecutor of Lviv prosecutor’s office. In total, out of 16 candidates in this list, 12 are prosecutor employees.

Serhii Syn, Striysky inter-district prosecutor of Lviv region - relative of Taras Dunas, former deputy prosecutor of Lviv region, is a contender for leadership positions in Drohobych local prosecutor’s office of Lviv region. He scored 123.33 points and took 8th place. Serhii Syn, being the prosecutor of Horodotsky district of Lviv region, became a member of the entire Dunas clan, marrying the daughter of the head of the Horodotska district council construction commission Omelian Dunas. The clan includes: Okana Dunas, former head of Horodotska RDA, Mykhailo Dunas, head of the tax police department of Horodotska district, Roman Dunas, head of the budget commission of Horodotska district council. The prosecutor is accused of covering the construction business of the Dunas family clan.

Confidently moving towards the leadership position of Horodotska local prosecutor’s office of Lviv region is senior prosecutor of Lviv, Ihor Sharovar – son of Vasyl Sharovar, lustred first deputy prosecutor of Ternopil region (former deputy prosecutor of Khmelnytsky region, former prosecutor of Ternopil). According to the results of two tests, Ihor scored 143.66 points and took 6th place in the ranking.

Attempting, and so far successfully, to return to the ranks of prosecutors is the notorious deputy head of the investigative department of the Lviv regional prosecutor’s office Andrii Ostashevskyi. On June 27, 2015, he was detained by employees of the State Automobile Inspection jointly with civil activists of "Road Control". The prosecutor was behind the wheel under the influence of alcohol. At the narcological center, the prosecutor attempted a "sprint run", but DAI employees skillfully caught up with him and took him to the narcological dispensary for a checkup. Later, the prosecutor’s office employee refused to leave the office, and six police officers had to carry him out. Currently, in the ranking list of Lviv local prosecutor’s office No. 3, he occupies 15th place with a final score of 125. For reference, he scored 30 points on an IQ test.

In the ranking list of Odesa local prosecutor’s office No. 1, you can observe, albeit in second place (out of modesty, perhaps), the candidacy of the scandalously known Oleksiy Horostaiev (currently deputy prosecutor of Kyiv district of Odesa) – son-in-law of the General Prosecutor of Ukraine Viktor Shokin. His wife, Tetiana Horostaieva, was the "eyes" from GPU to Odesa. It was she who Mikheil Saakashvili accused of corruption and "covering" business.

And already the first place in the ranking list of Odesa local prosecutor’s office No. 2 is occupied by the notorious prosecutor Serhii Kostenko. Known for his love of elite real estate, arrest of "Avtomaydan activist" Rezvushkin, non-competitive allocation of leadership positions in district prosecutor offices and many more. Odesa activist Vira Zaporozhets published a photo of the villa of prosecutor of Kyiv district in Odesa, Serhii Kostenko, with all existing "charms" and "enchants" from a deserved prosecutor service over many years. In July 2015, Kostenko and his colleague Yurii Kichuk undertook staff placement in district prosecutor offices even before the competition began.
Journalists obtained a letter on the topic "For now, like this" with attached "District Personnel" file, in which Kichuk, in particular, informs the deputy regional prosecutor Kostenko how to allocate leadership positions in district and inter-district prosecutor offices of Odesa region. Kostenko is also accused of business "covering" and the collapse of the separatism investigation.



A vivid example of actions, not words regarding reform, is Sakvarelidze personally introducing Kostenko to the position of prosecutor of Suvorovsky district prosecutor’s office. A cunning fight against corruption took place by the Georgian reformer. Here before the media, Sakvarelidze threatens to be a scourge of corruptionists, and here already, as prosecutor of Odesa region, he introduces corruptionist Kostenko to a new post.
The second place in the rating list of Odesa local prosecutor’s office No. 3 is occupied by a figure in the scandalous list of distribution of vacancies in the district prosecutor’s office of Odesa region – deputy prosecutor of Primorsky district of Odesa Oleksiy Khimchenko. And in 10th place in this list is the owner of a luxury mansion, hotel, and restaurant – deputy prosecutor of Primorsky district of Odesa Dmytro Korobko. Korobko is the owner of a luxury house in Dofinivka and a restaurant in the center of Odesa. He is blamed for covering brothels disguised as baths, "nalivok" (illegal alcohol selling), slot machines, metal scrap receiving points, cigarette smuggling, raids on business in Kyiv district of Odesa.

The second place in the ranking list for leaders of Kyiv local prosecutor’s office No. 1 is occupied by Andrii Milevskyi (prosecutor of Holosiivsky district of Kyiv) – son-in-law of Liudmyla Yerkhova, – the chief accountant of the GPU. Milevskyi during the leadership of the General Prosecutor’s Office by Viktor Pshonka worked as the deputy prosecutor of the Shevchenkivsky district of Kyiv, and then "remembered" by the city’s entrepreneurs for his "boiling activities" in the position of the capital’s environmental prosecutor and according to the law "On purification of power" is subject to lustration, but continues to work in the system of the GPU. Additionally, both Yerkhova and her son-in-law, after participating in an offsite meeting of prosecutors in Kramatorsk on October 2-3 last year, gained the status of participants in the anti-terrorist operation.
In the list of Kyiv local prosecutor’s office No. 1, located in fifth place (144.7 points) is Artem Yas – son of lustrated deputy prosecutor of Chernihiv region Oleksandr Yas. Artem himself currently holds the position of head of the prosecutor’s office of Kyiv region.

Taking second place in the list of Kyiv local prosecutor’s office No. 9 with a score of 166.7 points is Valentyn Bryantsev – senior prosecutor of Podilsky district prosecutor’s office of Kyiv. He was remembered for prosecuting nationalists and even served as the accuser in the "Ukraine without Kuchma" case against UNA-UNSO for the events of March 9, 2001. Once, he received a closed cranial-brain injury and numerous bruises during an "illustration" action by the "Svyatoshyn Robin Hoods".

Senior Prosecutor of Darnytsia Prosecutor’s Office Serhii Vlad – son of the former deputy head of the AMC Fedor Vlad, is a contender for leadership positions in Kyiv local prosecutor’s office No. 2. Serhii took sixth place in the rating list, scoring 151 points.

Andrii Kotyash, prosecutor of Slavutych city of Kyiv region – son of Ivan Kotyash, former head of the "Berkut" of Rivne region, became a finalist in the open competition and is a contender for the leadership position of Brovarsky local prosecutor’s office in the capital region. Andrii scored 112.3 points and took 13th place. The father of the young prosecutor, head of Rivne’s "Berkut", on February 21, 2014, along with 40 fighters of his unit, resigned and apologized to the people of Ukraine for his actions during the confrontation on Hrushevsky at Viche on Maidan.

Despite a very low result of 67.3 points, the head of Fastiv local prosecutor’s office in Kyiv region may become Serhii Grybenikov, deputy Fastiv inter-district prosecutor – son of Oleksandr Grybenikov, former head of the Internal Affairs Directorate in Bila Tserkva, and brother Anatolii Grybenikov, prosecutor of Desniansky district prosecutor’s office in Kyiv. Serhii takes 13th place among 15 candidates.

Alexey Chernov, a contender for the leadership positions of Kryvyi Rih local prosecutor’s office No. 1 in Dnipropetrovsk region, prosecutor of Dnipropetrovsk Oleksiy Chernov is the son of Vyacheslav Chernov, former assistant-consultant to a Member of the Parliament of Ukraine from the Party of Regions, head of the International Public Organization "Dnipro Land Community" Vyacheslav Zadorozhniy. Alexey took second place in the list, scoring 151 points.

Timur Fedorak, prosecutor of Kirovsky district of the city of Dnipropetrovsk – brother of Vitaliy Fedorak, one of the "Dnipro terrorists", who on April 27, 2012, organized four explosions in the city center, from which 30 people suffered. During the pre-trial examination, Vitaliy Fedorak threatened investigators that his brother, a prosecutor’s office employee, "decides everything." Timur took second place in the rating list of Dnipropetrovsk local prosecutor’s office No. 3 with a score of 155 points.

One of the candidates for leadership positions in the Zdolbuniv local prosecutor’s office is Zdolbuniv district prosecutor Oleh Kalaur – son of Leonid Kalaur, former deputy prosecutor of Rivne region. Oleh scored 120 final points and took 9th place in the ranking list.

Here are some examples illustrating the true nature of David Sakvarelidze’s reform.
The search for "tarnished" individuals can continue for a very long time. This situation simply nullifies the very idea of testing and hides the reform. Without the certification of current prosecutors, the open competition removes responsibility for their past activities. Overall, the competition is not yet over, but it has already been falsified.
However, sometimes family ties and high-ranking patrons can fail. For instance, the Deputy Prosecutor of the Holosiivskyi District of Kyiv, Yevhen Frantovskyi, who is the son of the former Prosecutor of the Donetsk Region, Mykola Frantovskyi, found himself out of the list of candidates for leadership positions at the Kyiv Local Prosecutions Office № 1, taking 24th place (116.3).
Also, not a candidate for leadership positions at Kyiv Local Prosecution Office №7 was the Deputy Prosecutor of the Holosiivskyi District, Dmytro Hlushak, the son of Vadym Hlushak, who led the capital’s prosecution office as "acting" in 2007. Dmytro scored only 119 points and took 20th place in the ranking.
The Deputy Prosecutor of the Desnianskyi District of Kyiv, Pavlo Danylchenko, the son of Yuriy Danylchenko, the Prosecutor of the Kharkiv Region, also missed the leadership chairs at Kyiv Local Prosecution Office № 3, scoring 88.7 points and taking 21st place. He was particularly let down by the IQ test, where he scored 16.7 points.
Low scores on the IQ test (16.7) and overall disappointing results (84.7 – 39th place) were shown by the First Deputy Prosecutor of the Dniprovskyi District of Kyiv, Vyacheslav Morozov – the son of Yuriy Morozov, head of the personnel department of the GPU under Pshonka.
Due to low scores (16.7) on the general abilities test, the Prosecutor of the Dniprovskyi District of Kyiv, Oleksiy Kalyna, was also cut. Scoring 95.7 points, he placed 30th in the Kyiv Local Prosecution Office № 4 ranking. Kalyna was remembered for vigorously defending the elder son of the head of the Petro Poroshenko Bloc faction, Yuriy Lutsenko, Oleksandr, who got into an accident in Nivky on the night of February 9, 2015. At that moment, Kalyna confirmed the Lutsenko family’s version that in the accident involving a Daewoo Lanos (driven by a policeman Petro Levchuk, who died) and a Volkswagen Touareg, the deputy’s son was not at fault.
Taking the last place in the list of Kyiv Local Prosecution Office №6 with the lowest IQ test score (10) was one of the candidates for the position of NABU director, lawyer Yakiv Varychov.
Studying the lists, we found falsification with the ranking. Thus, in the list of the Korostensky Local Prosecution Office of the Zhytomyr Region, a candidate with a final score of 117 was dropped from his rightful 5th place to the 11th.

David Sakvarelidze planned to renew the local prosecution office by 70%. He often spoke about the necessity of the emergence of "new partners" in the prosecution who do not want to delve into people’s pockets, seize money, or "cover" businesses. Essentially, the reform is aimed at filtering out existing staff at least in administrative positions and recruiting new, honest employees and leaders.
But the lists published on October 9 cast doubt on this entire venture.
The anti-corruption fighter Vitaliy Shabunin and Olena Sotnyk delivered a harsh criticism of Sakvarelidze’s reform. Specifically, Shabunin stated that the reform of local prosecution offices did not take place since 95% of the competition winners are old prosecutors.
We do not advocate for the "clean slate" dismissal of old prosecutors and the recruitment of new ones in their place. We do not understand the logic of young reformers who declare one thing but do another.
If the same people remain in the prosecution offices, then why conduct an open competition that does not consider the results of previous work of the candidates? It would be more appropriate to talk primarily about the re-evaluation of prosecutors based on clear criteria. At the competition, prosecutors demonstrate knowledge of laws, general abilities, and personal qualities, but they do not demonstrate what they have accomplished in previous years. That is, they are once again given carte blanche for work, even to those who have already failed and did not justify the trust.
Not only Ukrainians but also our Western donors are already tired of the imitation of reforms. As they say, no matter how much one tries to patch the facade of an old, outdated, and rotten building, its future will not change - it will collapse sooner or later.
Based on this, "Prokurorska Pravda" has several questions:
- What is the point of conducting an open competition to renew the prosecution staff by 70% if almost 80% of all candidates are current prosecutorial employees?
- When will the Deputy General Prosecutor Davit Sakvarelidze stop imitating the reform of the prosecution and make a real renewal of the prosecutorial staff?
- Will they be able to weed out the corrupt and relatives at the interview, or should only "their people" work in the prosecution, leaving no place for "new partners"?
Topics: Fedor VladSerhii VladAndrii KotyashIvan KotyashOleksandr GrybenikovSerhii GrybenikovOleh KalaurYevhen FrantovskyiYuriy DanylchenkoPavlo DanylchenkoDavid SakvarelidzeVyacheslav ChernovOleksiy ChernovVitaliy FedorakLeonid KalaurOleh TkalenkoDenys KorabanVladyslav PravdyukVolodymyr KovtunValeriy MogilnyOffice of the Prosecutor General
Comments:
comments powered by DisqusЗагрузка...
Our polls
Show Poll results
Show all polls on the website
